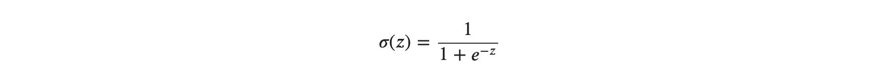
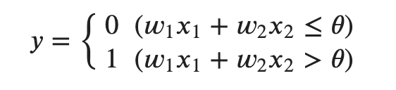
지난 신경망 내용에서 매끄럽게 변화하는 시그모이드 함수와 퍼셉트론에서는 갑자기 변화하는 계단 함수를 사용하는 신경망 학습의 차이에 대하여 알아보았습니다.
[Python/DeepLearning] #7. 출력층 뉴런 개수 정하기 & MNIST 데이터(Via Tensorflow)
지난 블로그, 신경망의 출력층에 대하여 알아보고 설계에 대하여 알아보았습니다. 2023.10.11 - [Programming/Deep Learning] - [Python/DeepLearning] #6. 출력층(output layer) 설계 [Python/DeepLearning] #6. 출력층(output lay
yuja-k.tistory.com
이번 블로그에서는 모델을 학습 때, 모델의 출력값과 예측값의 오차를 계산해 주는 함수, 손실 함수 Loss Function의 종류에 대하여 알아보도록 하겠습니다.
손실 함수 "Loss Function"
"배가 얼마나 고파요?"라는 질문에 뭐라고 대답할까요?
"배가 많이 고파요" 또는 "적당히 배가 고파요"라는 그냥 막연한 대답이 돌아와야 하는 게 보통입니다.
만약 "저는 지금 63.33 만큼 배가 고파요"라고 이야기하면 질문한 사람이 조금은 당황하겠죠?
이 사람이 개인적으로 만들어낸 이 사람만의 지표라는 것을 토대로 배고픔을 수치적으로 표현했기 때문입니다.
위 사람은 아마 일정 수치가 되면 "배가 고프다"라고 표현하고, 일정 수치가 되면 배가 고프지 않게 밥을 먹는 조금은 특이한 사람이죠.
위에서 이야기한 지표는 하나의 은유적인 비유이지만, 신경망 학습에서는 현재의 상태를 '하나의 지표'로 표현하고, 그 지표를 가장 좋게 만들어주는 가중치 매개변수의 값을 탐색하는 것입니다.
위에서 언급한 사람이 자신만의 '배고픔 지표'를 가지고 '최적의 배고픔'을 찾기 위해 노력하듯, 신경망도 '하나의 지표'를 기준으로 최적의 매개변수 값을 탐색합니다.
신경망 학습에서 사용하는 지표를 "손실 함수 Loss Function"라고 합니다. 이 손실 함수는 임의의 함수를 마음대로 사용할 수 있지만, 일반적으로는 평균 제곱 오차 (MSE)와 교차 엔트로피 오차를 사용합니다.
손실 함수는 신경망 성능의 '나쁨'을 나타내는 지표로써, 현재의 신경망이 훈련데이터를 얼마나 잘 처리하지 '못'하느냐를 나타냅니다.
'나쁨'을 지표로 한다는 것이 약간은 어색하지만 그냥 음수만 곱하게 되면 반대를 나타내기 때문에 크게 신경 쓰지 않아도 됩니다.
결론적으로 나쁨을 최소로 하는 것과 좋음을 최대로 하는 것은 같은 의미가 됩니다.
"'나쁨'을 지표로 삼아도 수행하는 일은 다르지 않다"라는 것입니다.
평균 제곱 오차 (MSE - Mean Squared Error)
가장 많이 쓰이는 손실 함수로 평균 제곱 오차(Mean Squared Error)가 있습니다. 수식은 다음과 같습니다.

앞쪽이 1/2인 이유는 미분했을 때 남는 식이 (𝑦𝑘−𝑡𝑘) 이기 때문이다.
- 𝑦𝑘는 예측값을 의미한다. (𝑦̂ 𝑘)
- 𝑡𝑘는 정답(타깃값)을 의미한다.
import numpy as np
y = [0.1, 0.05, 0.6, 0.0, 0.05, 0.1, 0.0, 0.1, 0.0, 0.0]
t = [0, 0, 1, 0, 0, 0, 0, 0, 0, 0]
def mean_squared_error(y, t):
return 0.5 * np.sum((y-t) ** 2)
print("정답을 2로 추정했을 때의 MSE 값 : {:.3f}".format(mean_squared_error(np.array(y), np.array(t))))
이 배열들의 원소는 첫 번째 인덱스부터 순서대로 '0', '1', '2'를 의미합니다.
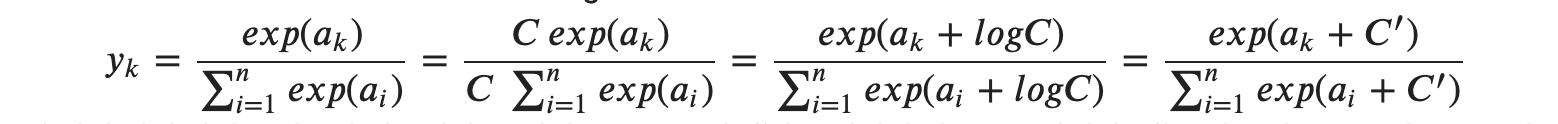
- y는 𝑠𝑜𝑓𝑡𝑚𝑎𝑥의 출력물로 가정하고, 정답이 2일 확률을 60%로 추정하고 있다.
- t는 One-Hot Encoding 된 정답 레이블로써, 원래 정답이 2라고 정해져 있다.
소프트맥스 함수의 결과물은 확률이라고 해석할 수 있기 때문에 위 예에서 이미지가 0으로 분류될 확률은 0.1, '1'로 분류될 확률은 0.05, '2'로 분류될 확률은 0.6... 이런 식으로 해석해 보도록 합시다.
𝑡는 정답 레이블로써, 정답을 가리키는 위치의 원소는 1로, 그 외에는 0으로 표기한 모습입니다. 숫자 '2'를 의미하는 원소 값이 1이기 때문에 정답은 '2'로 생각할 수 있습니다. 평균 제곱오차 수식을 직접 구현해 보겠습니다.
# 일부로 오답 예측을 만들어서 MSE 값을 측정하기. 예측값을 7이라고 가정한 경우로 테스트
y = [0.1, 0.05, 0.1, 0.0, 0.05, 0.1, 0.0, 0.6, 0.0, 0.0]
print("정답을 7로 추정했을 때의 MSE 값 : {:.3f}".format(mean_squared_error(np.array(y), np.array(t))))
두 가지 예를 살펴보았습니다. 첫 번째 예는 정답이 '2'이고, 신경망의 출력도 '2'에서 가장 높은 경우라고 생각하면 됩니다.
두 번째 예에서도 정답은 똑같이 '2' 지만, 출력이 '7'인 경우가 가장 높다고 가정한 것입니다.
결괏값을 확인해 보면 정답을 '2'로 예측했을 때의 손실 함수 오차가 더 작으며, 정답 레이블과의 오차도 작은 것을 알 수 있습니다.
즉, 평균 제곱 오차를 기준으로는 첫 번째 추정 결과가 오차가 더 작기 때문에 정답에 가깝다!라고 판단할 수 있을 것입니다.
교차 엔트로피 오차 (CEE - Cross Entropy Error)
또 다른 손실 함수로써 교차 엔트로피 오차(cross entropy error)도 많이 활용됩니다. 교차 엔트로피 오차 수식은 다음과 같습니다.
여기에서의 𝑙𝑜𝑔는 밑이 𝑒인 자연로그 (𝑙𝑜𝑔𝑒)입니다.
𝑦𝑘는 신경망의 출력, 𝑡𝑘는 정답 레이블입니다. 𝑡𝑘는 정답에 해당하는 인덱스의 원소만 1이고, 나머지는 0인 One-Hot-Encoding 된 형식의 데이터입니다.
그래서 위 식은 실질적으로 정답일 때의 추정(𝑡𝑘가 1일 때의 𝑦𝑘)의 자연로그를 계산하는 식이 됩니다.
정답이 아닌 나머지 모드는 𝑡𝑘가 0이므로 𝑙𝑜𝑔𝑦𝑘와 곱해도 0이 되어 결과에 영향을 주지 않습니다. 예를 들어 정답 레이블은 '2'가 정답이라 하고, 이때의 신경망 출력이 0.6이라면 교차 엔트로피 오차는 −𝑙𝑜𝑔0.6=0.51이 됩니다. 또한 같은 조건에서 신경망 출력이 0.1이라면 −𝑙𝑜𝑔0.1=2.30이 됩니다.
즉, 교차 엔트로피 오차는 정답일 때의 출력이 전체 값을 정하게 됩니다. 교차 엔트로피를 구현해 보도록 하겠습니다.
- One Hot Encoding 된 𝑡𝑘가 곱해지기 때문에, 정답이 아닌 타깃은 신경을 전혀 쓰지 않는다. ( 𝑙𝑜𝑔𝑦𝑘 X '0 값' )
- 예측값 자체가 오차 출력값이 된다.
def cross_entropy_error(y, t):
delta = 1e-7
return -np.sum(t * np.log(y + delta))
위에서 아주 작은 값인 delta를 더하는 이유는 np.log 함수에 0이 대입되면 마이너스 무한대를 나타내게 됩니다. 따라서 더 이상 계산을 할 수 없기 때문에 y에 아주 작은 값 delta를 더해 절대 0이 되지 않도록, 즉 마이너스 무한대가 되지 않도록 방지한 코드입니다.
위의 함수를 이용해서 2를 예측하는 간단한 계산을 해보겠습니다.
# 정답은 2
t = [0, 0, 1, 0, 0, 0, 0, 0, 0, 0]
# 정답이 2일 확률이 가장 높다고 추정함(0.6)
y = [0.1, 0.05, 0.6, 0.0, 0.05, 0.1, 0.0, 0.1, 0.0, 0.0]
print("정답을 2로 추정했을 때의 CEE값 : {:.3f}".format(cross_entropy_error(np.array(y), np.array(t))))
# 정답이 7일 확률이 가장 높다고 추정함(0.6)
y = [0.1, 0.05, 0.1, 0.0, 0.05, 0.1, 0.0, 0.6, 0.0, 0.0]
print("정답을 7로 추정했을 때의 CEE값 : {:.3f}".format(cross_entropy_error(np.array(y), np.array(t))))
MSE와 마찬가지로 첫 번째 예에서는 오차가 약 0.51, 두 번째 예에서는 2.30 정도로 많은 차이가 나타나고 있는 것이 확인됩니다.
즉, 결과가 더 작은 첫 번째 추정이 정답일 가능성이 높다고 판단한 것으로, 앞서 평균 제곱 오차의 판단과 일치하게 됩니다.
미니 배치 학습
일전에 배치에 대해 이야기해 보았습니다.
[Python/DeepLearning] #7. 출력층 뉴런 개수 정하기 & MNIST 데이터(Via Tensorflow)
지난 블로그, 신경망의 출력층에 대하여 알아보고 설계에 대하여 알아보았습니다. 2023.10.11 - [Programming/Deep Learning] - [Python/DeepLearning] #6. 출력층(output layer) 설계 [Python/DeepLearning] #6. 출력층(output lay
yuja-k.tistory.com
입력한 데이터의 묶음에 대한 결과물들의 묶음이었는데요, 이 데이터들을 모두 훈련 데이터로 사용하게 된다면, 모든 데이터에 대해 손실함수를 적용시켜야 할 것입니다.
즉, 훈련데이터가 100 묶음이라면, 그로부터 계산한 100개의 손실 함숫값들의 합을 지표로 삼아야 한다는 이야기가 될 것입니다.
지금까지 데이터 하나에 대한 손실 함수만 생각해 보았으니, 이제 훈련 데이터 모두에 대한 손실 함수를 적용시킨다고 생각해 보겠습니다.
그렇다면 교차 엔트로피의 오차는 다음과 같겠네요!
식이 조금 복잡해진 것 같지만, 간단합니다.
데이터가 𝑁개라면 𝑡𝑛𝑘는 𝑛번째 데이터의 𝑘번째 값을 의미합니다.
(𝑦𝑛𝑘는 신경망의 출력, 𝑡𝑛𝑘는 정답 레이블) 단순히 교차 엔트로피 함수를 𝑁개로 확장하고, 그 오차를 모두 더해서 마지막에 𝑁으로 나누어 정규화하고 있을 뿐입니다.
즉, 제일 마지막에 𝑁으로 나눔으로써 평균 손실 함수를 구하는 것이다라고 생각할 수 있겠습니다.
이렇게 평균을 구해 사용하면 훈련 데이터의 개수와 관계없이 언제든 통일된 지표를 얻을 수 있을 것 같습니다. 예를 들어 훈련 데이터가 1,000개든, 10,000개든 상관없이 평균 손실 함수를 구할 수 있다는 뜻이 됩니다.
많은 양의 데이터셋에 대한 처리
일전에 사용했은 MNIST 데이터셋은 훈련 데이터가 무려 60,000개였습니다.
그래서 모든 데이터를 대상으로 손실 함수의 합을 구하려면 시간이 많이 걸리게 됩니다. 더 나아가 빅데이터 수준이 되면 그 수는 수백만에서 수천만도 넘는 거대한 값이 되기도 합니다.
이 많은 데이터를 대상으로 일일이 손실 함수를 계산하는 것은 비현실적이기 때문에, 데이터 일부를 추려 '근사치'로 이용할 수 있습니다.
이 일부가 되는 데이터를 미니배치(mini-batch)라고 합니다. MNIST에서 미니배치 학습을 구현하는 코드를 작성해 보도록 하겠습니다.
# mnist 데이터셋 로딩
from tensorflow.keras import datasets
mnist = datasets.mnist
(X_train, y_train), (X_test, y_test) = mnist.load_data()
X_train.shape
y_train.shape
Cross Entropy는 One Hot Encoding 이 되어 있어야 한다.
- X_train.shape -> (60000, 784)
- y_train.shape -> (60000, 10)
# step 1 : reshape 부터 진행 -> (60000, 1)
y_train_step_1 = y_train.reshape(-1, 1)
y_train_step_1.shape
y_train_step_1[:3]
# OneHotEncoder를 이용해서 원핫 인코딩 수행
from sklearn.preprocessing import OneHotEncoder
y_train_one_hot = OneHotEncoder().fit_transform(y_train_step_1)
y_train_one_hot = y_train_one_hot.toarray()
y_train_one_hot.shape
y_train_one_hot[:3]
X_train = X_train.reshape(60000, -1)
X_train.shape
미니 배치 구현하기
# 훈련 데이터에서 무작위로 10장만 빼내오기
train_size = X_train.shape[0] # 전체 훈련 데이터셋 크기
batch_size = 10 # 미니 배치의 사이즈
batch_mask = np.random.choice(train_size, batch_size) # train_size에서 무작위로 batch_size만큼의 정수를 선택
# 랜덤으로 선택된 인덱스에 있는 데이터만 추려내기
X_batch = X_train[batch_mask]
# 원핫 인코딩된 y_train에서 선택된 인덱스에 있는 데이터만 추려내기
y_batch = y_train_one_hot[batch_mask]
np.random.choice 함수를 이용해 지정한 범위의 수 중에서 무작위로 원하는 개수만 꺼내는 역할을 합니다.
위의 예에서는 60000 미만의 수 중에서 10개의 무작위 한 숫자를 뽑아낸 것입니다.
실제 batch_mask를 확인하면 10개의 인덱스가 무작위로 들어있는 배열을 확인할 수 있습니다.
print("무작위로 선택된 인덱스 : {}".format(batch_mask))
배치용 교차 엔트로피 구현하기
미니배치 같은 배치데이터를 지원하는 교차 엔트로피 오차는 다음과 같이 구현합니다.
단순히 배열 하나만 처리하던 부분에서, 여러 개의 배열을 한꺼번에 처리할 수 있도록만 바꿔주면 간단히 구현 가능 합니다.
# 배치 및 배치가 아닐 때 까지 고려
def cross_entropy_error(y, t):
# 1차 원일 때에 대한 처리( 배치가 아닐 때의 처리 )
if y.ndim == 1:
# 강제로 2차원 배열화 시키는 것
t = t.reshape(1, t.size)
y = y.reshape(1, y.size)
batch_size = y.shape[0]
return -np.sum(t * np.log(y)) / batch_size
위 코드에서 y는 신경망의 출력, t는 정답 레이블을 의미합니다.
y가 1차원이라면, 즉 데이터 하나당 교차 엔트로피 오차를 구하는 경우는 reshape 함수로 데이터의 형상을 바꿔줍니다. 그리고 배치의 크기로 나눠 정규화시키고 이미지 1장당 평균의 교차 엔트로피 오차를 계산합니다.
정답 레이블이 원 - 핫 인코딩이 아니라 '2'나 '7' 등의 숫자 레이블로 주어졌을 때의 교차 엔트로피 오차는 다음과 같이 구현 가능합니다.
# 원-핫 인코딩이 되어있지 않은 경우 대응
def cross_entropy_error(y, t):
if y.ndim == 1:
t = t.reshape(1, t.size)
y = y.reshape(1, y.size)
batch_size = y.shape[0]
return -np.sum(np.log(y[np.arange(batch_size), t])) / batch_size
위 구현에서는 원-핫 인코딩일 때 t가 0인 원소는 교차 엔트로피 오차도 0이기 때문에 그 계산은 무시해도 좋다는 점이 핵심입니다.
다시 말해, 정답에 해당하는 신경망의 출력만으로 교차 엔트로피 오차를 계산할 수 있다는 이야기가 됩니다.
그래서 원-핫 인코딩 시 t * np.log(y)였던 부분을 레이블 표현일 때는 np.log(y [np.arange(batch_size), t]) 로 구현합니다.
np.log(y[np.arange(batch_size), t]를 간단히 설명하면, np.arange(batch_size)는 0부터 batch_size - 1까지의 배열을 생성합니다.
즉, batch_size가 5라면 np.arange(batch_size)는 [0, 1, 2, 3, 4] 같은 Numpy 배열을 생성하게 되고, t에는 레이블이 [2, 7, 0, 9 ,8]와 같이 저장되어 있으므로 y [np.arange(batch_size), t]는 각 데이터의 정답 레이블에 해당하는 신경망의 출력을 추출합니다.
위 예에서의 출력은 [y [0, 2], y [1, 7], y [2, 0], y [3, 9], y [4, 8]]인 Numpy 배열이 만들어지는 것을 알 수 있습니다.
마지막 신경망 학습을 위한 경사법을 위한 미분은 다음 시간에 다뤄보도록 하겠습니다!
'Programming > Deep Learning' 카테고리의 다른 글
[Python/DeepLearning] #9.2. 수치 미분과 경사하강법(하) (1) | 2024.01.31 |
---|---|
[Python/DeepLearning] #9.1. 수치 미분과 경사하강법(상) (0) | 2024.01.29 |
[Python/DeepLearning] #7. 출력층 뉴런 개수 정하기 & MNIST 데이터(Via Tensorflow) (1) | 2023.11.03 |
[Python/DeepLearning] #6. 출력층(output layer) 설계 (1) | 2023.10.11 |
[Python/DeepLearning] #5. 행렬과 신경망 (0) | 2023.08.30 |